网站首页
电子线类
太阳能线缆
产品中心
关于我们
新闻资讯
行业应用
联系我们
电子线类
硅橡胶高压线 AGG-直流
产品详情
特点/用途
具有优良的高温耐低温性能,具有优良的电绝缘性能,优良的化学稳定性能,耐高电压,耐老化,使用寿命长。且柔软便于安装。 广泛应用于照明灯具、家用电器、电热电器、仪表仪器、电机引接线及电子、灯具、燃具等高温环境。 交货要求: 按双方合同协议商定,允许不小于10米的。
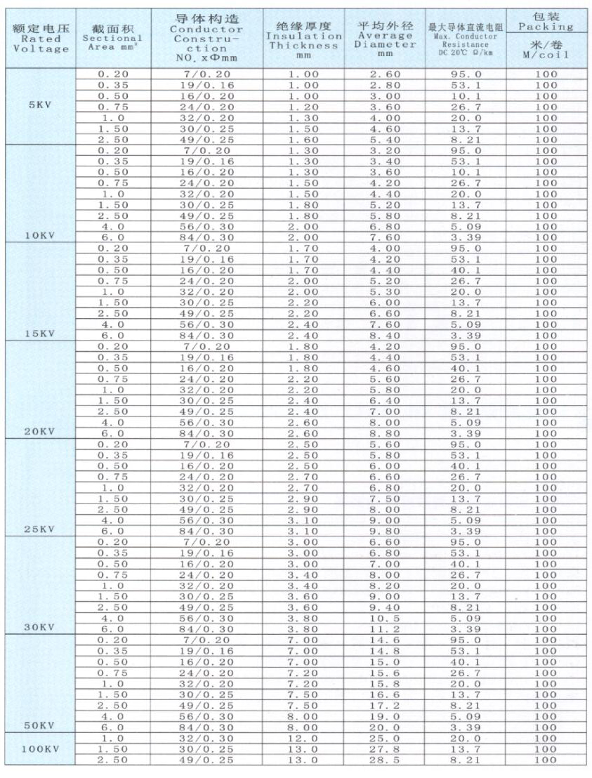
技术参数
上一篇:
硅橡胶高压线 AGG-交流
下一篇:
塑料绝缘高压电线 GYV